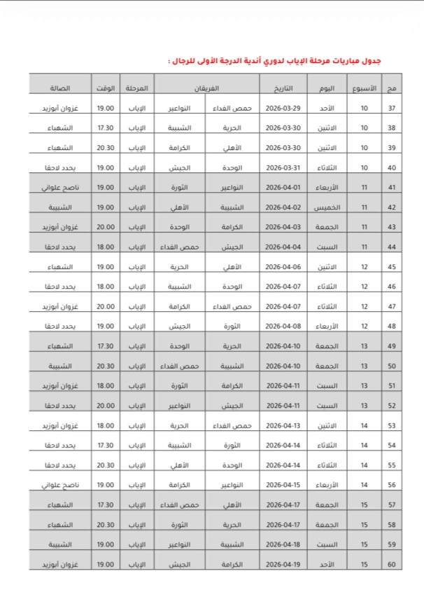
جدول مباريات مرحلة الإياب من الدوري السوري لكرة السلة 2026

نقدم لكم جدول مباريات مرحلة الإياب من الدوري السوري لكرة السلة والذي ينطلق يوم الجمعة 27 آذار 2026 بلقاء يجمع بين حمص الفداء والنواعير.
الدوري السوري لكرة السلة
الدوري السوري لكرة السلة هو بطولة الدوري الممتاز لكرة السلة للرجال في سوريا، وينظمه الاتحاد العربي السوري لكرة السلة. تأسس عام 1956، وهو من أقدم بطولات السلة في المنطقة.
البطولة تُقام عادةً بين أندية من مدن مثل دمشق، حلب، حمص، واللاذقية، ومن أبرز أنديته التاريخية: الجلاء، أهلي حلب، الوحدة، الجيش، والكرامة.
في المواسم الحديثة، يتغير عدد الفرق أحيانًا بحسب الاعتذارات أو التعديلات التنظيمية، لكن البطولة تبقى الدور الأبرز محليًا لتحديد بطل سوريا في كرة السلة. في موسم 2025-2026، دخل الوحدة بصفته حامل اللقب بعد تتويجه بموسم 2024-2025.
أكثر الأندية تتويجًا
- الجلاء: الأكثر فوزًا باللقب تاريخيًا.
- أهلي حلب: من أكثر الفرق تتويجًا أيضًا.
- الوحدة: من القوى الثابتة في الدوري وحقق عدة ألقاب في السنوات الأخيرة.
- الجيش والكرامة: حصدا ألقابًا أيضًا، مع تتويج الكرامة مرة واحدة تاريخيًا.
الأندية المشاركة بالدوري 2026
الأندية المشاركة في الدوري السوري لكرة السلة 2025-2026 هي 9 فرق: الوحدة، الجيش، الثورة، أهلي حلب، الشبيبة، الحرية، الكرامة، حمص الفداء، والنواعير. كان من المقرر أن يكون العدد أكبر، لكن نادي الهومنتمن اعتذر عن المشاركة قبل انطلاق الموسم، فاستقر العدد على هذه الأندية التسعة.
النقل التلفزيوني
قناة أنا سوريا هي الناقل الرسمي والحصري لمباريات الدوري السوري لكرة السلة 2025-2026، مع بث بعض المباريات المختارة مباشرة فضائيًا.
النقل التلفزيوني المميز على قناة أنا سوريا يُعتبر قفزة نوعية بفضل صفقة ستوديو فيجن التي فازت بحقوق البث الحصري لـ5 سنوات بقيمة تفوق 3.8 مليون دولار، مما يسمح باستثمار في الجودة، أبرز أسباب التميز:
- تردد متخصص عالي الجودة: تردد 11555 V 27500 على نايل سات، مصمم خصيصًا للرياضة السورية (القدم والسلة).
- بث منتظم لمباريات مختارة: اثنتان أسبوعيًا مباشرة، مع تغطية إضافية ديربيات مثل النواعير × أهلي حلب أو حمص الفداء × الشبيبة.
- إنتاج احترافي: تعليق رياضي حيوي، إعادة للأهداف، إحصائيات حية، وبث متزامن على فيسبوك ويوتيوب، مما يجعله “غير قابل للتصديق لدوري محلي”.
نظام الدوري السوري باسكت 2026
أول ٦ فرق بعد انتهاء مرحلة إياب، يتأهلوا إلى الفاينل ٦ حاملين نقاط التي جمعوها بالمرحلة الأولى. فاينل ٦ بنظام الدوري ذهاب واياب. ثم يتأهل أول اربعة فرق إلى الفاينل ٤ ثم الفاينل.
ترتيب مرحلة الذهاب
ترتيب مرحلة الذهاب في الدوري السوري لكرة السلة 2025-2026 انتهى بعد 8 جولات بتصدر النواعير برصيد 14 نقطة، تلاه أهلي حلب بنفس الرصيد لكنه تأخر بفارق التسجيل.
| الترتيب | الفريق | النقاط |
| 1 | النواعير | 14 |
| 2 | أهلي حلب | 14 |
| 3 | الوحدة | 13 |
| 4 | حمص الفداء | 13 |
| 5 | الشبيبة | 12 |
| 6 | الكرامة | 12 |
| 7 | الحرية | 10 |
| 8 | الجيش | 10 |
| 9 | الثورة | 8 |
جدول مباريات مرحلة الإياب 2026




